Упражнение 11.3 ГДЗ Мордкович Семенов 9 класс (Алгебра)
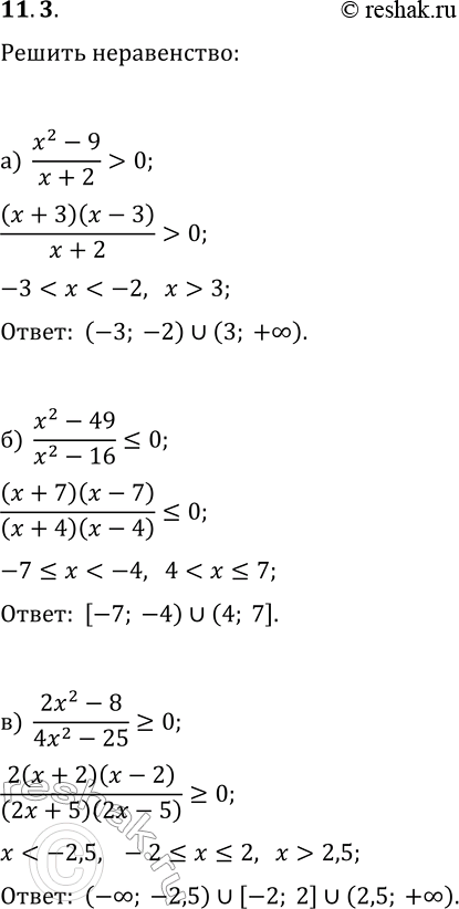
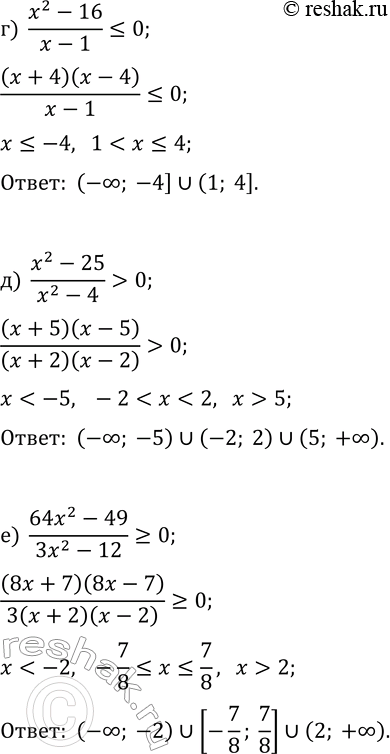
11.3. Решите неравенство: а) (x^2-9)/(x+2) > 0; г) (x^2-16)/(x-1)?0; б) (x^2-49)/(x^2-16)?0; д) (x^2-25)/(x^2-4) > 0; в) (2x^2-8)/(4x^2-25)?0; е) (64x^2-49)/(3x^2-12)?0. *Цитирирование задания со ссылкой на учебник производится исключительно в учебных целях для лучшего понимания разбора решения задания.


Ниже вариант решения задания из учебника Мордкович, Семенов, Александрова 9 класс, Бином:
11.3. Решите неравенство:
а) (x^2-9)/(x+2) > 0; г) (x^2-16)/(x-1)?0;
б) (x^2-49)/(x^2-16)?0; д) (x^2-25)/(x^2-4) > 0;
в) (2x^2-8)/(4x^2-25)?0; е) (64x^2-49)/(3x^2-12)?0.
