Упражнение 11.5 ГДЗ Мордкович Семенов 9 класс (Алгебра)
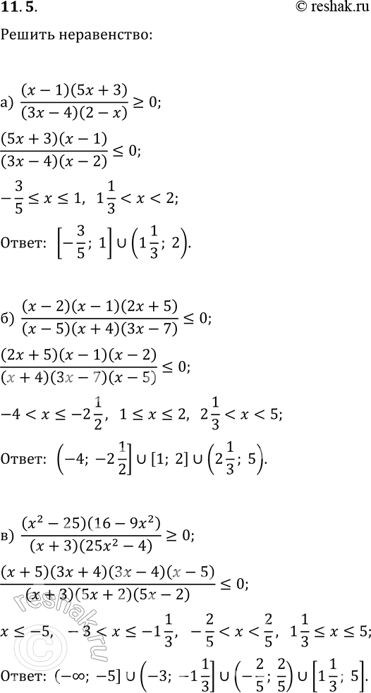
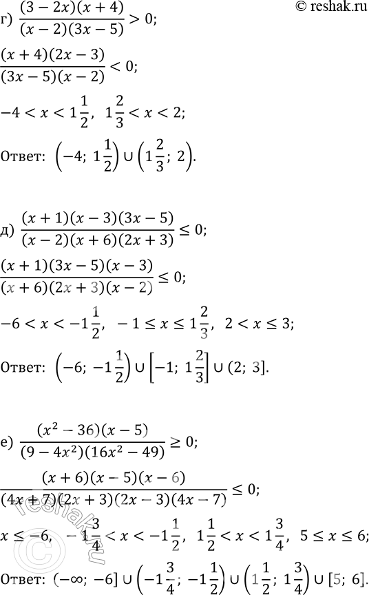
11.5. Решите неравенство: а) (x-1)(5x+3)/((3x-4)(2-x))?0; б) (x-2)(x-1)(2x+5)/((x-5)(x+4)(3x-7))?0; в) (x^2-25)(16-9x^2)/((x+3)(25x^2-4))?0; г) (3-2x)(x+4)/((x-2)(3x-5)) > 0; д) (x+1)(x-3)(3x-5)/((x-2)(x+6)(2x+3))?0; е) (x^2-36)(x-5)/((9-4x^2)(16x^2-49))?0. *Цитирирование задания со ссылкой на учебник производится исключительно в учебных целях для лучшего понимания разбора решения задания.


Ниже вариант решения задания из учебника Мордкович, Семенов, Александрова 9 класс, Бином:
11.5. Решите неравенство:
а) (x-1)(5x+3)/((3x-4)(2-x))?0;
б) (x-2)(x-1)(2x+5)/((x-5)(x+4)(3x-7))?0;
в) (x^2-25)(16-9x^2)/((x+3)(25x^2-4))?0;
г) (3-2x)(x+4)/((x-2)(3x-5)) > 0;
д) (x+1)(x-3)(3x-5)/((x-2)(x+6)(2x+3))?0;
е) (x^2-36)(x-5)/((9-4x^2)(16x^2-49))?0.
