Упражнение 11.2 ГДЗ Мордкович Семенов 9 класс (Алгебра)
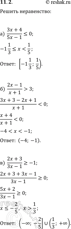
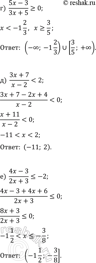
11.2. Решите неравенство: а) (3x+4)/(5x-1)?0; г) (5x-3)/(3x+5)?0; б) (2x-1)/(x+1) > 3; д) (3x+7)/(x-2) в) (2x+3)/(3x-1)?-1; е) (4x-3)/(2x+3)?-2. *Цитирирование задания со ссылкой на учебник производится исключительно в учебных целях для лучшего понимания разбора решения задания.


Ниже вариант решения задания из учебника Мордкович, Семенов, Александрова 9 класс, Бином:
11.2. Решите неравенство:
а) (3x+4)/(5x-1)?0; г) (5x-3)/(3x+5)?0;
б) (2x-1)/(x+1) > 3; д) (3x+7)/(x-2)
в) (2x+3)/(3x-1)?-1; е) (4x-3)/(2x+3)?-2.
