Упражнение 11.4 ГДЗ Мордкович Семенов 9 класс (Алгебра)
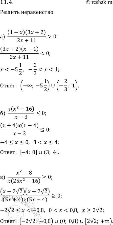
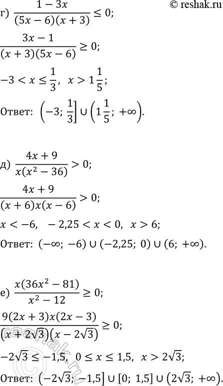
11.4. Решите неравенство: а) (1-x)(3x+2)/(2x+11) > 0; г) (1-3x)/((5x-6)(x+3))?0; б) x(x^2-16)/(x-3)?0; д) (4x+9)/(x(x^2-36)) > 0; в) (x^2-8)/(x(25x^2-16))?0; е) x(36x^2-81)/(x^2-12)?0. *Цитирирование задания со ссылкой на учебник производится исключительно в учебных целях для лучшего понимания разбора решения задания.


Ниже вариант решения задания из учебника Мордкович, Семенов, Александрова 9 класс, Бином:
11.4. Решите неравенство:
а) (1-x)(3x+2)/(2x+11) > 0; г) (1-3x)/((5x-6)(x+3))?0;
б) x(x^2-16)/(x-3)?0; д) (4x+9)/(x(x^2-36)) > 0;
в) (x^2-8)/(x(25x^2-16))?0; е) x(36x^2-81)/(x^2-12)?0.
