Упражнение 11.7 ГДЗ Мордкович Семенов 9 класс (Алгебра)
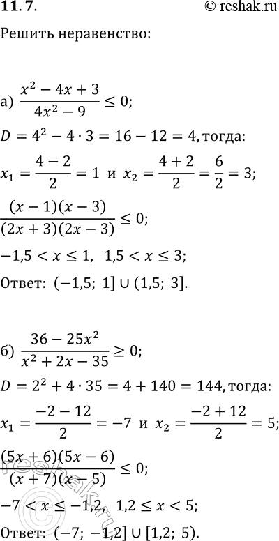
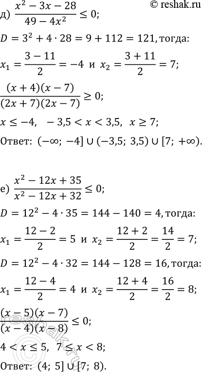
11.7. Решите неравенство: а) (x^2-4x+3)/(4x^2-9)?0; г) (16x^2-25)/(x^2-10x+24)?0; б) (36-25x^2)/(x^2+2x-35)?0; д) (x^2-3x-28)/(49-4x^2)?0; в) (x^2+11x+30)/(x^2+11x+28)?0; е) (x^2-12x+35)/(x^2-12x+32)?0. *Цитирирование задания со ссылкой на учебник производится исключительно в учебных целях для лучшего понимания разбора решения задания.



Ниже вариант решения задания из учебника Мордкович, Семенов, Александрова 9 класс, Бином:
11.7. Решите неравенство:
а) (x^2-4x+3)/(4x^2-9)?0; г) (16x^2-25)/(x^2-10x+24)?0;
б) (36-25x^2)/(x^2+2x-35)?0; д) (x^2-3x-28)/(49-4x^2)?0;
в) (x^2+11x+30)/(x^2+11x+28)?0; е) (x^2-12x+35)/(x^2-12x+32)?0.
