Упражнение 28.14 ГДЗ Мордкович Семенов 9 класс (Алгебра)
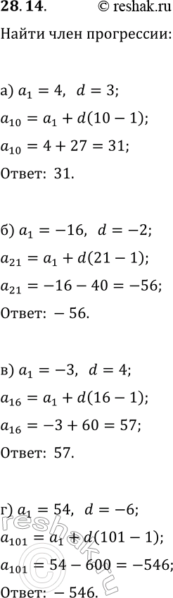
28.14. Дана арифметическая прогрессия (a_n). Найдите: а) a_10, если a_1=4, d=3; б) a_21, если a_1=-16, d=-2; в) a_16, если a_1=-3, d=4;

Ниже вариант решения задания из учебника Мордкович, Семенов, Александрова 9 класс, Бином:
28.14. Дана арифметическая прогрессия (a_n). Найдите:
а) a_10, если a_1=4, d=3;
б) a_21, если a_1=-16, d=-2;
в) a_16, если a_1=-3, d=4;
г) a_101, если a_1=54, d=-6.
