Упражнение 28.16 ГДЗ Мордкович Семенов 9 класс (Алгебра)
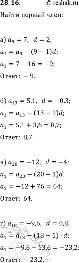
28.16. Найдите первый член арифметической прогрессии (a_n), если: а) a_9=7, d=2; в) a_20=-12, d=-4; б) a_13=5,1, d=-0,3; г) a_18=-9,6, d=0,8. *Цитирирование задания со ссылкой на учебник производится исключительно в учебных целях для лучшего понимания разбора решения задания.

Ниже вариант решения задания из учебника Мордкович, Семенов, Александрова 9 класс, Бином:
28.16. Найдите первый член арифметической прогрессии (a_n), если:
а) a_9=7, d=2; в) a_20=-12, d=-4;
б) a_13=5,1, d=-0,3; г) a_18=-9,6, d=0,8.
