Упражнение 28.19 ГДЗ Мордкович Семенов 9 класс (Алгебра)
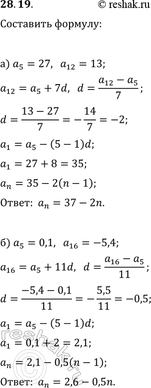
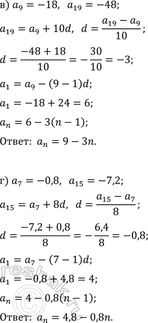
28.19. Составьте формулу n-го члена арифметической прогрессии (a_n), если: а) a_5=27, a_12=13; в) a_9=-18, a_19=-48; б) a_5=0,1, a_16=-5,4; г) a_7=-0,8, a_15=-7,2.


Ниже вариант решения задания из учебника Мордкович, Семенов, Александрова 9 класс, Бином:
28.19. Составьте формулу n-го члена арифметической прогрессии (a_n), если:
а) a_5=27, a_12=13; в) a_9=-18, a_19=-48;
б) a_5=0,1, a_16=-5,4; г) a_7=-0,8, a_15=-7,2.
