Упражнение 28.15 ГДЗ Мордкович Семенов 9 класс (Алгебра)
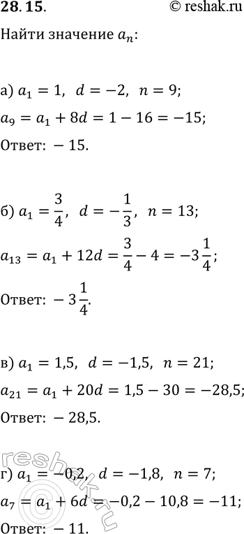
28.15. Дана конечная арифметическая прогрессия (a_n). Найдите a_n, если: а) a_1=1, d=-2, n=9; в) a_1=1,5, d=-1,5, n=21; б) a_1=3/4, d=-1/3, n=13;

Ниже вариант решения задания из учебника Мордкович, Семенов, Александрова 9 класс, Бином:
28.15. Дана конечная арифметическая прогрессия (a_n). Найдите a_n, если:
а) a_1=1, d=-2, n=9; в) a_1=1,5, d=-1,5, n=21;
б) a_1=3/4, d=-1/3, n=13; г) a_1 =-0,2, d=-1,8, n=7.
