Упражнение 28.18 ГДЗ Мордкович Семенов 9 класс (Алгебра)
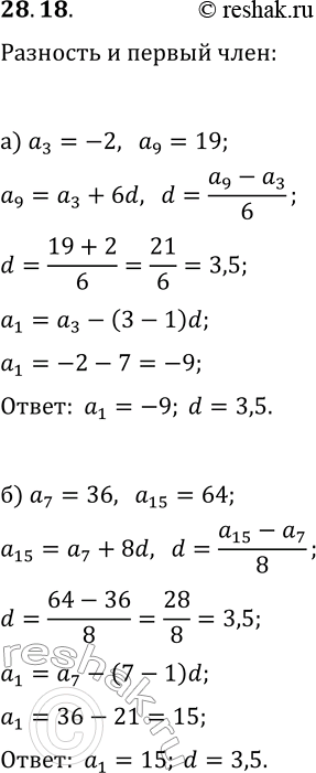
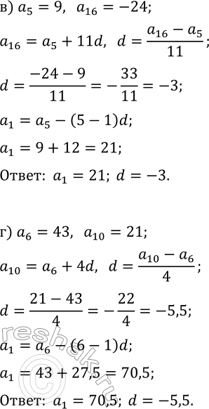
28.18. Найдите разность и первый член арифметической прогрессии (a_n), если: а) a_3=-2, a_9=19; в) a_5=9, a_16=-24; б) a_7=36, a_15=64; г) a_6=43, a_10=21.


Ниже вариант решения задания из учебника Мордкович, Семенов, Александрова 9 класс, Бином:
28.18. Найдите разность и первый член арифметической прогрессии (a_n), если:
а) a_3=-2, a_9=19; в) a_5=9, a_16=-24;
б) a_7=36, a_15=64; г) a_6=43, a_10=21.
