Упражнение 28.17 ГДЗ Мордкович Семенов 9 класс (Алгебра)
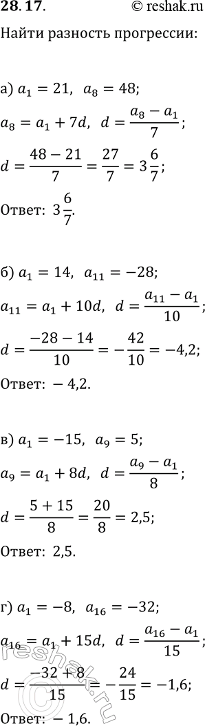
28.17. Найдите разность арифметической прогрессии (a_n), если: а) a_1=21, a_8=48; в) a_1=-15, a_9=5; б) a_1=14, a_11=-28; г) a_1=-8, a_16=-32. *Цитирирование задания со ссылкой на учебник производится исключительно в учебных целях для лучшего понимания разбора решения задания.

Ниже вариант решения задания из учебника Мордкович, Семенов, Александрова 9 класс, Бином:
28.17. Найдите разность арифметической прогрессии (a_n), если:
а) a_1=21, a_8=48; в) a_1=-15, a_9=5;
б) a_1=14, a_11=-28; г) a_1=-8, a_16=-32.
