Упражнение 28.20 ГДЗ Мордкович Семенов 9 класс (Алгебра)
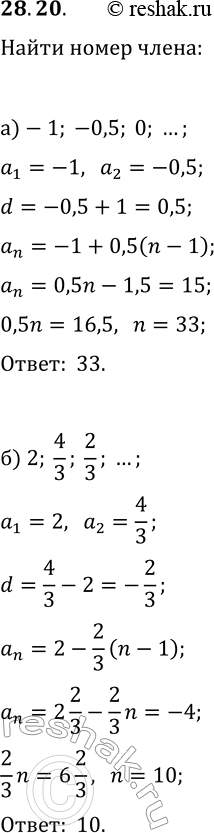
28.20. а) Число 15 является членом арифметической прогрессии -1, -0,5, 0, ... . Найдите номер этого члена прогрессии. б) Число -4 является членом арифметической прогрессии 2, 4/3, 2/3, ...

Ниже вариант решения задания из учебника Мордкович, Семенов, Александрова 9 класс, Бином:
28.20. а) Число 15 является членом арифметической прогрессии -1, -0,5, 0, ... . Найдите номер этого члена прогрессии.
б) Число -4 является членом арифметической прогрессии 2, 4/3, 2/3, ... . Найдите номер этого члена прогрессии.
