Упражнение 31.11 ГДЗ Мордкович Семенов 9 класс (Алгебра)
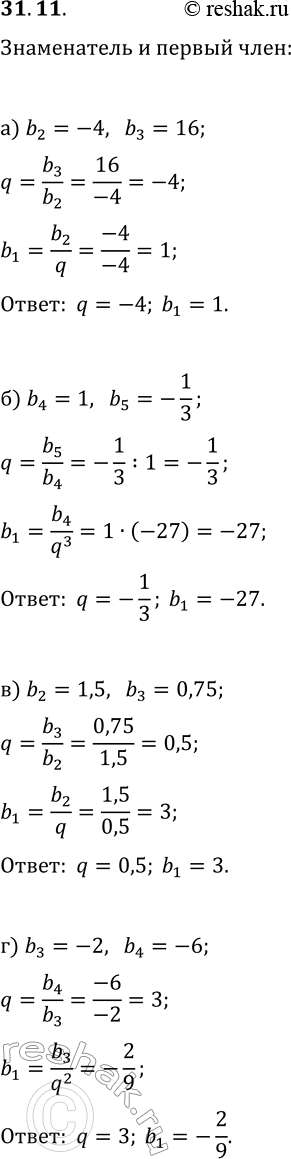
31.11. Найдите знаменатель и первый член геометрической прогрессии (b_n), если: а) b_2=-4, b_3=16; в) b_2=1,5, b_3=0,75; б) b_4=1, b_5=-1/3; г) b_3=-2, b_4=-6.

Ниже вариант решения задания из учебника Мордкович, Семенов, Александрова 9 класс, Бином:
31.11. Найдите знаменатель и первый член геометрической прогрессии (b_n), если:
а) b_2=-4, b_3=16; в) b_2=1,5, b_3=0,75;
б) b_4=1, b_5=-1/3; г) b_3=-2, b_4=-6.
