Упражнение 34.7 ГДЗ Мордкович Семенов 9 класс (Алгебра)
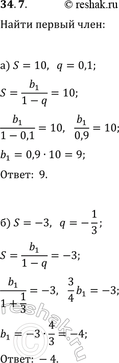
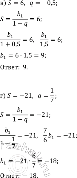
34.7. Найдите первый член геометрической прогрессии (b_n), если: а) S=10, q=0,1; в) S=6, q=-0,5; б) S=-3, q=-1/3; г) S=-21, q=1/7. *Цитирирование задания со ссылкой на учебник производится исключительно в учебных целях для лучшего понимания разбора решения задания.


Ниже вариант решения задания из учебника Мордкович, Семенов, Александрова 9 класс, Бином:
34.7. Найдите первый член геометрической прогрессии (b_n), если:
а) S=10, q=0,1; в) S=6, q=-0,5;
б) S=-3, q=-1/3; г) S=-21, q=1/7.
