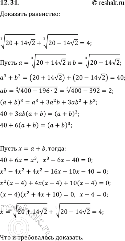
Упражнение 12.31 ГДЗ Мерзляк 10 класс Углубленный уровень (Алгебра)
12.31. Докажите, что (20+14v2)^(1/3)+(20-14v2)^(1/3)=4. *Цитирирование задания со ссылкой на учебник производится исключительно в учебных целях для лучшего понимания разбора решения задания.

Ниже вариант решения задания из учебника Мерзляк, Номировский, Поляков 10 класс, Просвещение:
12.31. Докажите, что (20+14v2)^(1/3)+(20-14v2)^(1/3)=4.
