Упражнение 12.33 ГДЗ Мерзляк 10 класс Углубленный уровень (Алгебра)
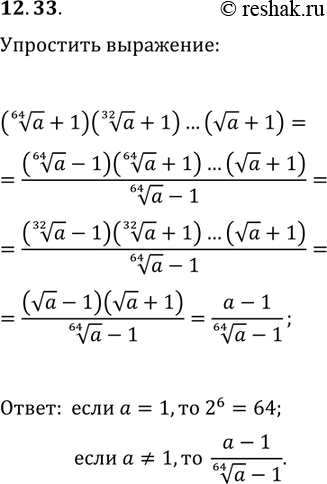
12.33. Упростите выражение (a^(1/64)+1)(a^(1/32)+1)...(va+1). *Цитирирование задания со ссылкой на учебник производится исключительно в учебных целях для лучшего понимания разбора решения задания.

Ниже вариант решения задания из учебника Мерзляк, Номировский, Поляков 10 класс, Просвещение:
12.33. Упростите выражение (a^(1/64)+1)(a^(1/32)+1)...(va+1).
