Упражнение 12.32 ГДЗ Мерзляк 10 класс Углубленный уровень (Алгебра)
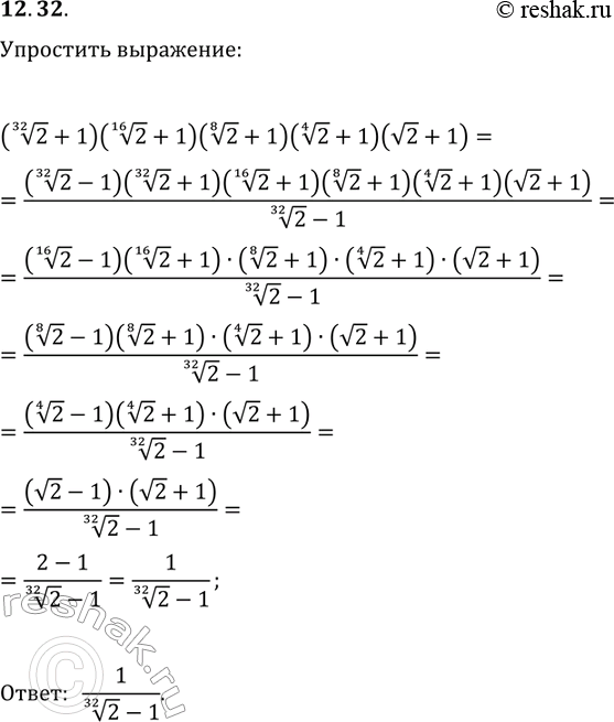
12.32. Упростите выражение (2^(1/32)+1)(2^(1/16)+1)(2^(1/8)+1)(2^(1/4)+1)(v2+1). *Цитирирование задания со ссылкой на учебник производится исключительно в учебных целях для лучшего понимания разбора решения задания.

Ниже вариант решения задания из учебника Мерзляк, Номировский, Поляков 10 класс, Просвещение:
12.32. Упростите выражение (2^(1/32)+1)(2^(1/16)+1)(2^(1/8)+1)(2^(1/4)+1)(v2+1).
