Упражнение 13.18 ГДЗ Мерзляк 10 класс Углубленный уровень (Алгебра)
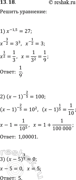
13.18. Решите уравнение: 1) x^(-1,5)=27; 2) (x-1)^(-2/5)=100; 3) (x-5)^(3/7)=0. *Цитирирование задания со ссылкой на учебник производится исключительно в учебных целях для лучшего понимания разбора решения задания.

Ниже вариант решения задания из учебника Мерзляк, Номировский, Поляков 10 класс, Просвещение:
13.18. Решите уравнение:
1) x^(-1,5)=27;
2) (x-1)^(-2/5)=100;
3) (x-5)^(3/7)=0.
