Упражнение 13.17 ГДЗ Мерзляк 10 класс Углубленный уровень (Алгебра)
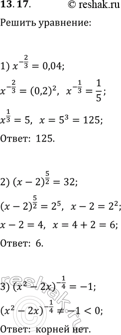
13.17. Решите уравнение: 1) x^(-2/3)=0,04; 2) (x-2)^(5/2)=32; 3) (x^2-2x)^(-1/4)=-1. *Цитирирование задания со ссылкой на учебник производится исключительно в учебных целях для лучшего понимания разбора решения задания.

Ниже вариант решения задания из учебника Мерзляк, Номировский, Поляков 10 класс, Просвещение:
13.17. Решите уравнение:
1) x^(-2/3)=0,04;
2) (x-2)^(5/2)=32;
3) (x^2-2x)^(-1/4)=-1.
