Упражнение 13.16 ГДЗ Мерзляк 10 класс Углубленный уровень (Алгебра)
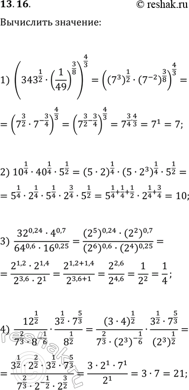
13.16. Найдите значение выражения: 1) (343^(1/2)·(1/49)^(3/8))^(4/3); 2) 10^(1/4)·40^(1/4)·5^(1/2); 3) (32^0,24·4^0,7)/(64^0,6·16^0,25); 4O) (12^(1/2)/(7^(2/3)·8^(-1/6))·(3^(1/2)·7^(5/3))/8^(1/2). *Цитирирование задания со ссылкой на учебник производится исключительно в учебных целях для лучшего понимания разбора решения задания.

Ниже вариант решения задания из учебника Мерзляк, Номировский, Поляков 10 класс, Просвещение:
13.16. Найдите значение выражения:
1) (343^(1/2)·(1/49)^(3/8))^(4/3);
2) 10^(1/4)·40^(1/4)·5^(1/2);
3) (32^0,24·4^0,7)/(64^0,6·16^0,25);
4O) (12^(1/2)/(7^(2/3)·8^(-1/6))·(3^(1/2)·7^(5/3))/8^(1/2).
