Упражнение 13.9 ГДЗ Мерзляк 10 класс Углубленный уровень (Алгебра)
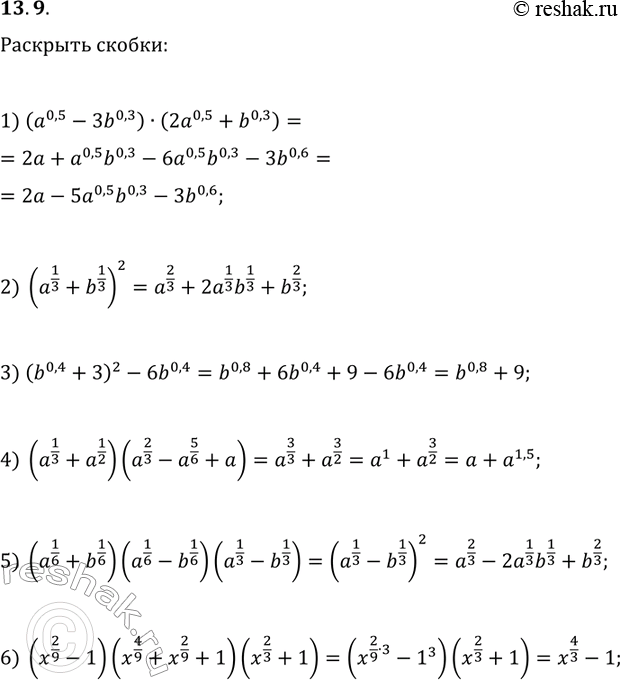
13.9. Раскройте скобки: 1) (a^0,5-3b^0,3)(2a^0,5+b^0,3); 4) (a^(1/3)+a^(1/2))(a^(2/3)-a^(5/6)+a); 2) (a^(1/3)+b^(1/3))^2; 5) (a^(1/6)+b^(1/6))(a^(1/6)-b^(1/6))(a^(1/3)-b^(1/3)); 3) (b^0,4+3)^2-6b^0,4; 6) (x^(2/9)-1)(x^(4/9)+x^(2/9)+1)(x^(2/3)+1). *Цитирирование задания со ссылкой на учебник производится исключительно в учебных целях для лучшего понимания разбора решения задания.

Ниже вариант решения задания из учебника Мерзляк, Номировский, Поляков 10 класс, Просвещение:
13.9. Раскройте скобки:
1) (a^0,5-3b^0,3)(2a^0,5+b^0,3); 4) (a^(1/3)+a^(1/2))(a^(2/3)-a^(5/6)+a);
2) (a^(1/3)+b^(1/3))^2; 5) (a^(1/6)+b^(1/6))(a^(1/6)-b^(1/6))(a^(1/3)-b^(1/3));
3) (b^0,4+3)^2-6b^0,4; 6) (x^(2/9)-1)(x^(4/9)+x^(2/9)+1)(x^(2/3)+1).
