Упражнение 14.12 ГДЗ Мерзляк 10 класс Углубленный уровень (Алгебра)
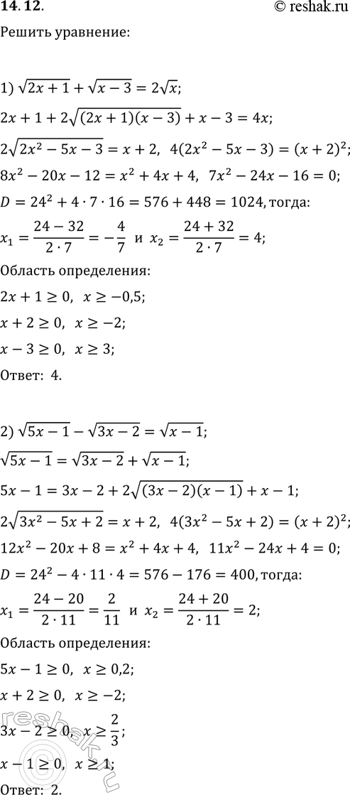
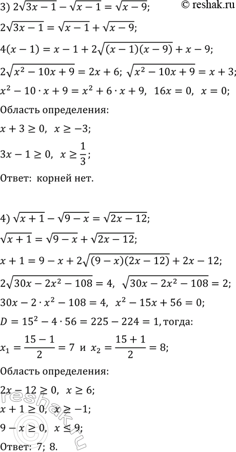
14.12. Решите уравнение: 1) v(2x+1)+v(x-3)=2vx; 2) v(5x-1)-v(3x-2)=v(x-1); 3) 2v(3x-1)-v(x-1)=v(x-9); 4) v(x+1)-v(9-x)=v(2x-12). *Цитирирование задания со ссылкой на учебник производится исключительно в учебных целях для лучшего понимания разбора решения задания.


Ниже вариант решения задания из учебника Мерзляк, Номировский, Поляков 10 класс, Просвещение:
14.12. Решите уравнение:
1) v(2x+1)+v(x-3)=2vx;
2) v(5x-1)-v(3x-2)=v(x-1);
3) 2v(3x-1)-v(x-1)=v(x-9);
4) v(x+1)-v(9-x)=v(2x-12).
