Упражнение 14.10 ГДЗ Мерзляк 10 класс Углубленный уровень (Алгебра)
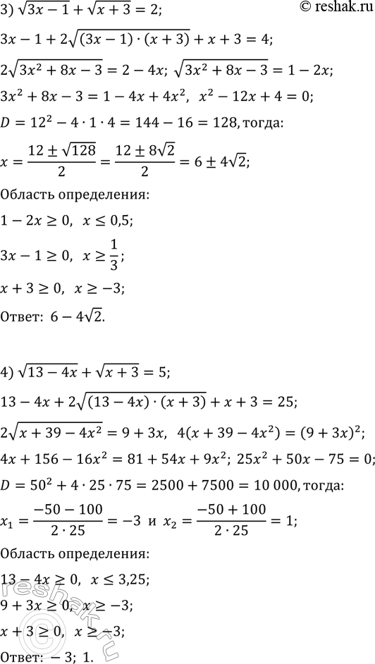
14.10. Решите уравнение: 1) v(x-5)+v(10-x)=3; 3) v(3x-1)+v(x+3)=2; 2) v(x-7)+v(x-1)=4; 4) v(13-4x)+v(x+3)=5. *Цитирирование задания со ссылкой на учебник производится исключительно в учебных целях для лучшего понимания разбора решения задания.


Ниже вариант решения задания из учебника Мерзляк, Номировский, Поляков 10 класс, Просвещение:
14.10. Решите уравнение:
1) v(x-5)+v(10-x)=3; 3) v(3x-1)+v(x+3)=2;
2) v(x-7)+v(x-1)=4; 4) v(13-4x)+v(x+3)=5.
