Упражнение 14.13 ГДЗ Мерзляк 10 класс Углубленный уровень (Алгебра)
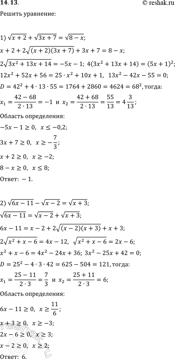
14.13. Решите уравнение: 1) v(x+2)+v(3x+7)=v(8-x); 2) v(6x-11)-v(x-2)=v(x+3). *Цитирирование задания со ссылкой на учебник производится исключительно в учебных целях для лучшего понимания разбора решения задания.

Ниже вариант решения задания из учебника Мерзляк, Номировский, Поляков 10 класс, Просвещение:
14.13. Решите уравнение:
1) v(x+2)+v(3x+7)=v(8-x);
2) v(6x-11)-v(x-2)=v(x+3).
