Упражнение 23.2 ГДЗ Мерзляк 10 класс Углубленный уровень (Алгебра)
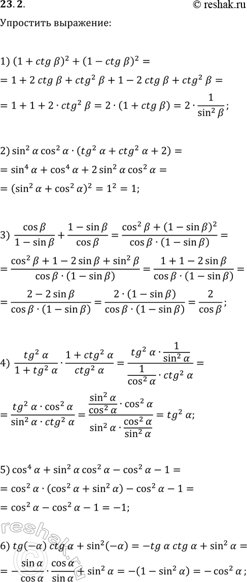
23.2. Упростите выражение: 1) (1+ctg(?))^2+(1-ctg(?))^2; 2) sin^2(?)cos^2(?)(tg^2(?)+ctg^2(?)+2); 3) cos(?)/(1-sin(?))+(1-sin(?))/cos(?); 4) tg^2(?)/(1+tg^2(?))·(1+ctg^2(?))/ctg^2(?); 5) cos^4(?)+sin^2(?)cos^2(?)-cos^2(?)-1; 6) tg(-?)ctg(?)+sin^2(-?). *Цитирирование задания со ссылкой на учебник производится исключительно в учебных целях для лучшего понимания разбора решения задания.

Ниже вариант решения задания из учебника Мерзляк, Номировский, Поляков 10 класс, Просвещение:
23.2. Упростите выражение:
1) (1+ctg(?))^2+(1-ctg(?))^2;
2) sin^2(?)cos^2(?)(tg^2(?)+ctg^2(?)+2);
3) cos(?)/(1-sin(?))+(1-sin(?))/cos(?);
4) tg^2(?)/(1+tg^2(?))·(1+ctg^2(?))/ctg^2(?);
5) cos^4(?)+sin^2(?)cos^2(?)-cos^2(?)-1;
6) tg(-?)ctg(?)+sin^2(-?).
