Упражнение 23.5 ГДЗ Мерзляк 10 класс Углубленный уровень (Алгебра)
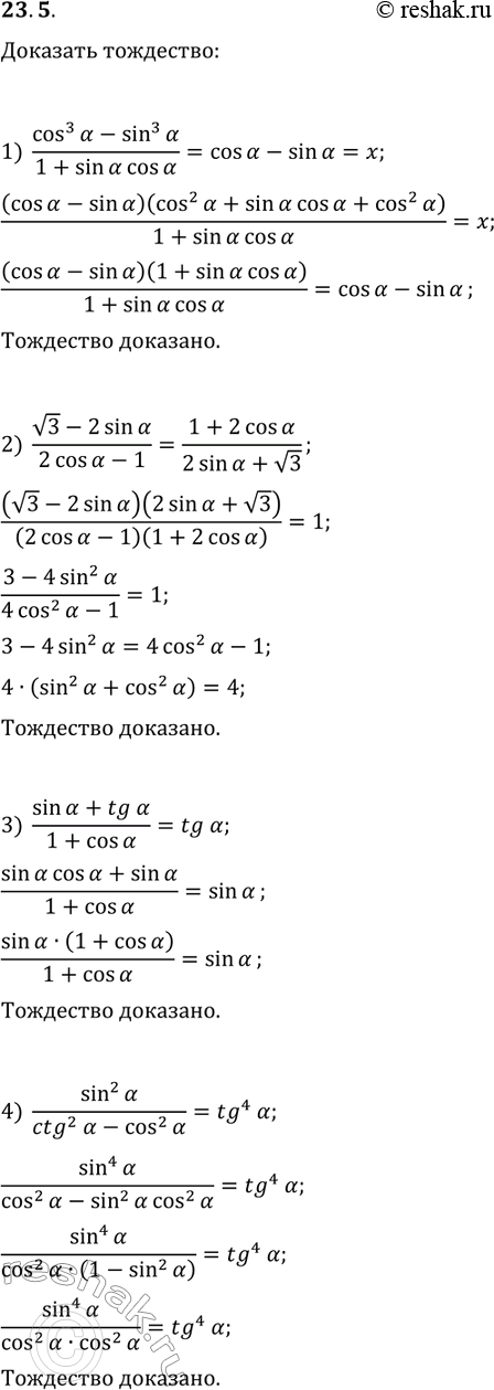
23.5. Докажите тождество: 1) (cos^3(?)-sin^3(?))/(1+sin(?)cos(?))=cos(?)-sin(?); 2) (v3-2sin(?))/(2cos(?)-1)=(1+2cos(?))/(2sin(?)+v3); 3) (sin(?)+tg(?))/(1+cos(?))=tg(?); 4) sin^2(?)/(ctg^2(?)-cos^2(?))=tg^4(?). *Цитирирование задания со ссылкой на учебник производится исключительно в учебных целях для лучшего понимания разбора решения задания.

Ниже вариант решения задания из учебника Мерзляк, Номировский, Поляков 10 класс, Просвещение:
23.5. Докажите тождество:
1) (cos^3(?)-sin^3(?))/(1+sin(?)cos(?))=cos(?)-sin(?);
2) (v3-2sin(?))/(2cos(?)-1)=(1+2cos(?))/(2sin(?)+v3);
3) (sin(?)+tg(?))/(1+cos(?))=tg(?);
4) sin^2(?)/(ctg^2(?)-cos^2(?))=tg^4(?).
