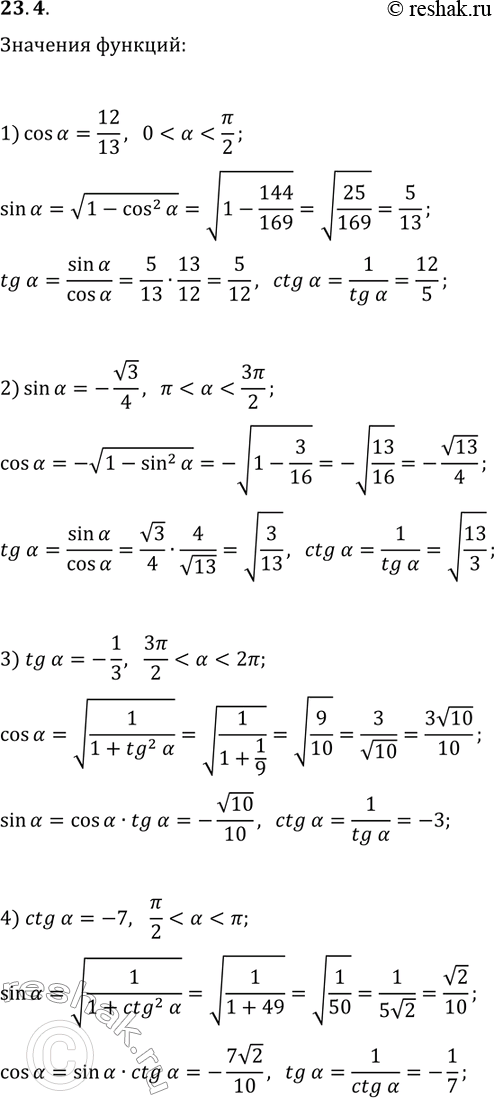
Упражнение 23.4 ГДЗ Мерзляк 10 класс Углубленный уровень (Алгебра)
23.4. Найдите значения тригонометрических функций аргумента ?, если: 1) cos(?)=12/13 и 0 2) sin(?)=-v3/4 и ? *Цитирирование задания со ссылкой на учебник производится исключительно в учебных целях для лучшего понимания разбора решения задания.
Ниже вариант решения задания из учебника Мерзляк, Номировский, Поляков 10 класс, Просвещение:
23.4. Найдите значения тригонометрических функций аргумента ?, если:
1) cos(?)=12/13 и 0
2) sin(?)=-v3/4 и ?

