Упражнение 23.3 ГДЗ Мерзляк 10 класс Углубленный уровень (Алгебра)
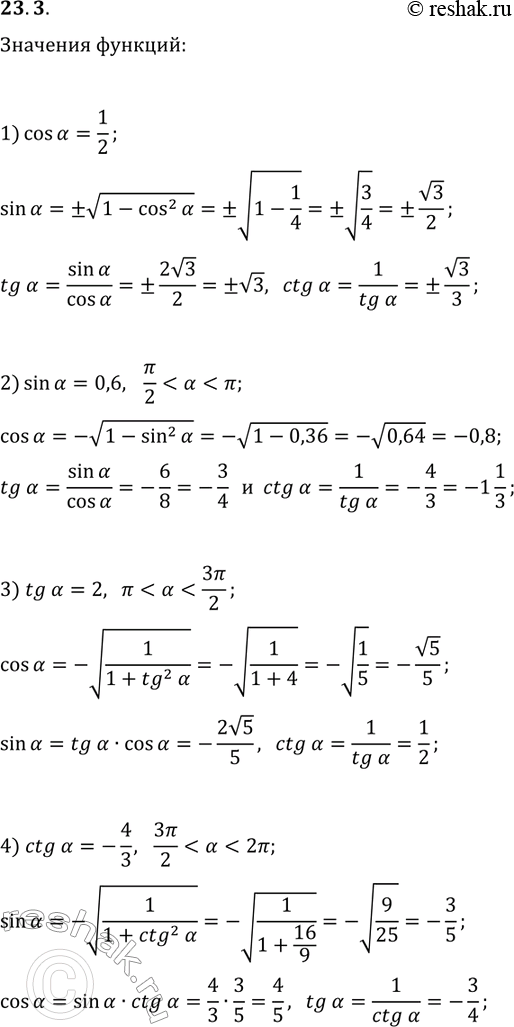
23.3. Найдите значения тригонометрических функций аргумента ?, если: 1) cos(?)=1/2; 3) tg(?)=2 и ? 2) sin(?)=0,6 и ?/2 *Цитирирование задания со ссылкой на учебник производится исключительно в учебных целях для лучшего понимания разбора решения задания.
Ниже вариант решения задания из учебника Мерзляк, Номировский, Поляков 10 класс, Просвещение:
23.3. Найдите значения тригонометрических функций аргумента ?, если:
1) cos(?)=1/2; 3) tg(?)=2 и ?
2) sin(?)=0,6 и ?/2

