Упражнение 28.3 ГДЗ Мерзляк 10 класс Углубленный уровень (Алгебра)
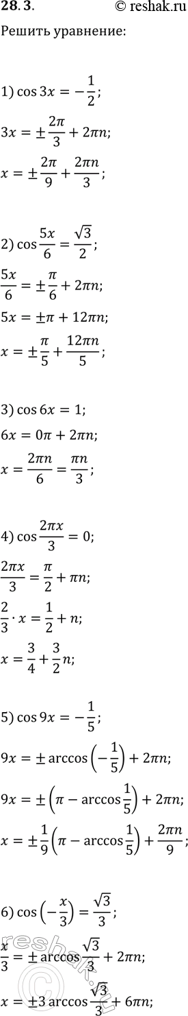
28.3. Решите уравнение: 1) cos(3x)=-1/2; 3) cos(6x)=1; 5) cos(9x)=-1/5; 2) cos(5/6 x)=v3/2; 4) cos(2?x/3)=0; 6) cos(-x/3)=v3/3. *Цитирирование задания со ссылкой на учебник производится исключительно в учебных целях для лучшего понимания разбора решения задания.

Ниже вариант решения задания из учебника Мерзляк, Номировский, Поляков 10 класс, Просвещение:
28.3. Решите уравнение:
1) cos(3x)=-1/2; 3) cos(6x)=1; 5) cos(9x)=-1/5;
2) cos(5/6 x)=v3/2; 4) cos(2?x/3)=0; 6) cos(-x/3)=v3/3.
