Упражнение 28.4 ГДЗ Мерзляк 10 класс Углубленный уровень (Алгебра)
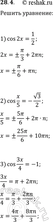
28.4. Решите уравнение: 1) cos(2x)=1/2; 2) cos(x/5)=-v3/2; 3) cos(3x/4)=-1. *Цитирирование задания со ссылкой на учебник производится исключительно в учебных целях для лучшего понимания разбора решения задания.

Ниже вариант решения задания из учебника Мерзляк, Номировский, Поляков 10 класс, Просвещение:
28.4. Решите уравнение:
1) cos(2x)=1/2; 2) cos(x/5)=-v3/2; 3) cos(3x/4)=-1.
