Упражнение 30.8 ГДЗ Мерзляк 10 класс Углубленный уровень (Алгебра)
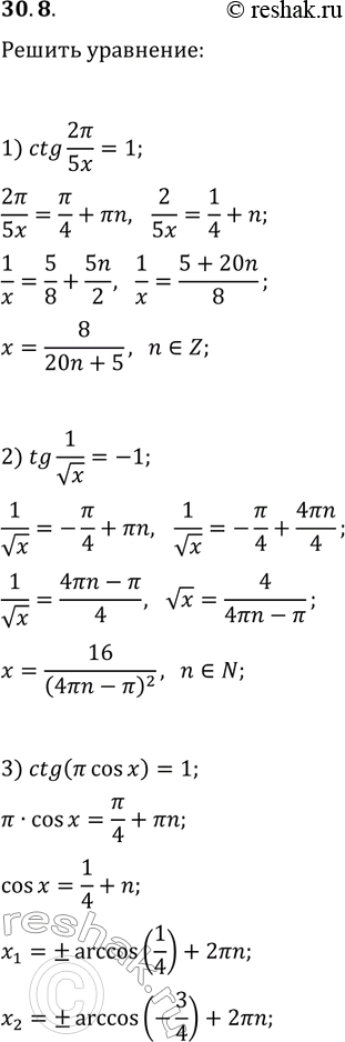
30.8. Решите уравнение: 1) ctg(2?/(5x))=1; 2) tg(1/vx)=-1; 3) ctg(? cos(x))=1. *Цитирирование задания со ссылкой на учебник производится исключительно в учебных целях для лучшего понимания разбора решения задания.

Ниже вариант решения задания из учебника Мерзляк, Номировский, Поляков 10 класс, Просвещение:
30.8. Решите уравнение:
1) ctg(2?/(5x))=1; 2) tg(1/vx)=-1; 3) ctg(? cos(x))=1.
