Упражнение 30.7 ГДЗ Мерзляк 10 класс Углубленный уровень (Алгебра)
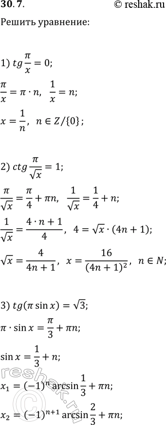
30.7. Решите уравнение: 1) tg(?/x)=0; 2) ctg(?/vx)=1; 3) tg(? sin(x))=v3. *Цитирирование задания со ссылкой на учебник производится исключительно в учебных целях для лучшего понимания разбора решения задания.

Ниже вариант решения задания из учебника Мерзляк, Номировский, Поляков 10 класс, Просвещение:
30.7. Решите уравнение:
1) tg(?/x)=0; 2) ctg(?/vx)=1; 3) tg(? sin(x))=v3.
