Упражнение 32.10 ГДЗ Мерзляк 10 класс Углубленный уровень (Алгебра)
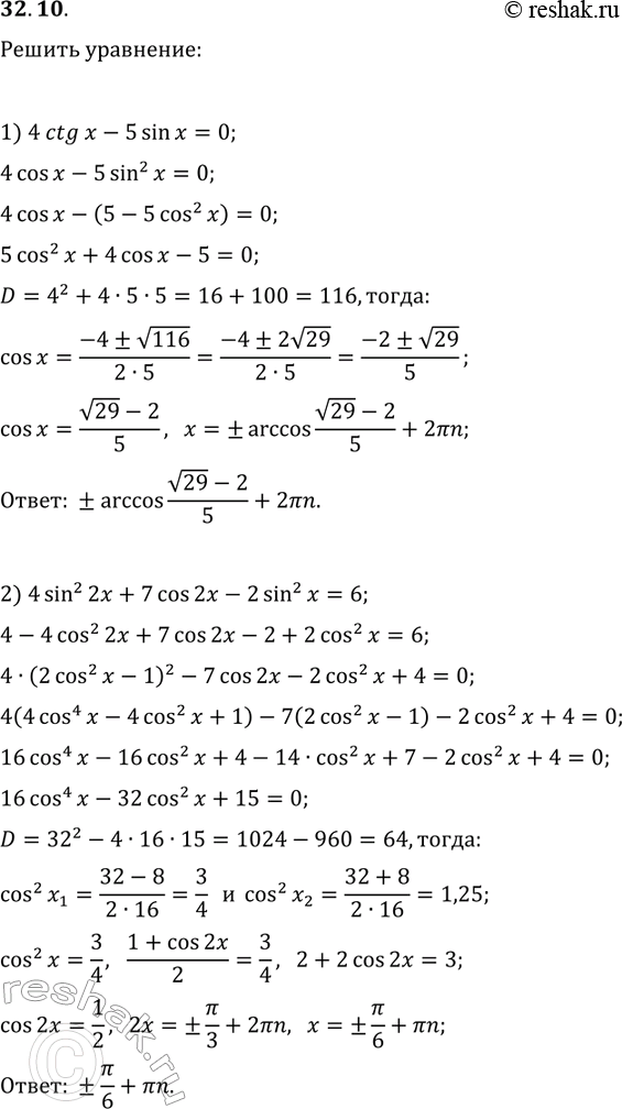
32.10. Решите уравнение: 1) 4ctg(x)-5sin(x)=0; 2) 4sin^2(2x)+7cos(2x)-2sin^2(x)=6; 3) 7+2sin(2x)+1,5(tg(x)+ctg(x))=0; 4) 2cos(4x)-2cos^2(x)=3cos(2x). *Цитирирование задания со ссылкой на учебник производится исключительно в учебных целях для лучшего понимания разбора решения задания.


Ниже вариант решения задания из учебника Мерзляк, Номировский, Поляков 10 класс, Просвещение:
32.10. Решите уравнение:
1) 4ctg(x)-5sin(x)=0;
2) 4sin^2(2x)+7cos(2x)-2sin^2(x)=6;
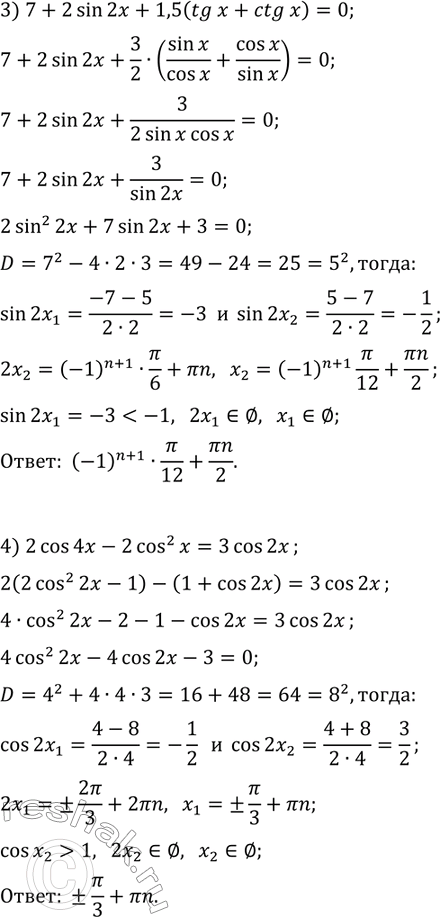
3) 7+2sin(2x)+1,5(tg(x)+ctg(x))=0;
4) 2cos(4x)-2cos^2(x)=3cos(2x).
