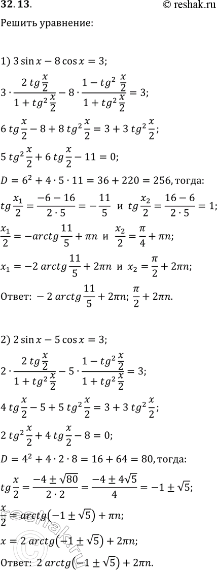
Упражнение 32.13 ГДЗ Мерзляк 10 класс Углубленный уровень (Алгебра)
32.13. Решите уравнение: 1) 3sin(x)-8cos(x)=3; 2) 2sin(x)-5cos(x)=3. *Цитирирование задания со ссылкой на учебник производится исключительно в учебных целях для лучшего понимания разбора решения задания.

Ниже вариант решения задания из учебника Мерзляк, Номировский, Поляков 10 класс, Просвещение:
32.13. Решите уравнение:
1) 3sin(x)-8cos(x)=3;
2) 2sin(x)-5cos(x)=3.
