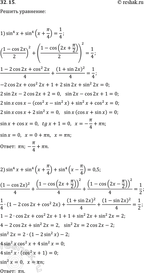
Упражнение 32.15 ГДЗ Мерзляк 10 класс Углубленный уровень (Алгебра)
32.15. Решите уравнение: 1) sin^4(x)+sin^4(x+?/4)=1/4; 2) sin^4(x)+sin^4(x+?/4)+sin^4(x-?/4)=0,5. *Цитирирование задания со ссылкой на учебник производится исключительно в учебных целях для лучшего понимания разбора решения задания.

Ниже вариант решения задания из учебника Мерзляк, Номировский, Поляков 10 класс, Просвещение:
32.15. Решите уравнение:
1) sin^4(x)+sin^4(x+?/4)=1/4;
2) sin^4(x)+sin^4(x+?/4)+sin^4(x-?/4)=0,5.
