Упражнение 32.14 ГДЗ Мерзляк 10 класс Углубленный уровень (Алгебра)
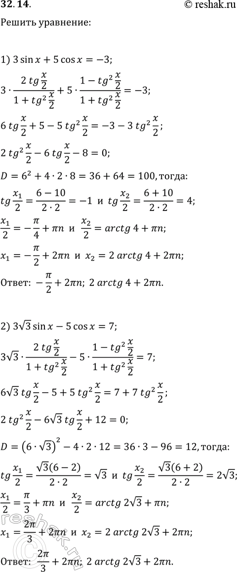
32.14. Решите уравнение: 1) 3sin(x)+5cos(x)=-3; 2) 3v3sin(x)-5cos(x)=7. *Цитирирование задания со ссылкой на учебник производится исключительно в учебных целях для лучшего понимания разбора решения задания.

Ниже вариант решения задания из учебника Мерзляк, Номировский, Поляков 10 класс, Просвещение:
32.14. Решите уравнение:
1) 3sin(x)+5cos(x)=-3;
2) 3v3sin(x)-5cos(x)=7.
