Упражнение 32.8 ГДЗ Мерзляк 10 класс Углубленный уровень (Алгебра)
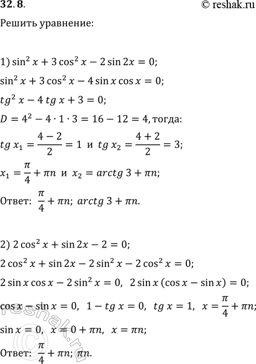
32.8. Решите уравнение: 1) sin^2(x)+3cos^2(x)-2sin(2x)=0; 2) 2cos^2(x)+sin(2x)-2=0. *Цитирирование задания со ссылкой на учебник производится исключительно в учебных целях для лучшего понимания разбора решения задания.

Ниже вариант решения задания из учебника Мерзляк, Номировский, Поляков 10 класс, Просвещение:
32.8. Решите уравнение:
1) sin^2(x)+3cos^2(x)-2sin(2x)=0;
2) 2cos^2(x)+sin(2x)-2=0.
