Упражнение 32.16 ГДЗ Мерзляк 10 класс Углубленный уровень (Алгебра)
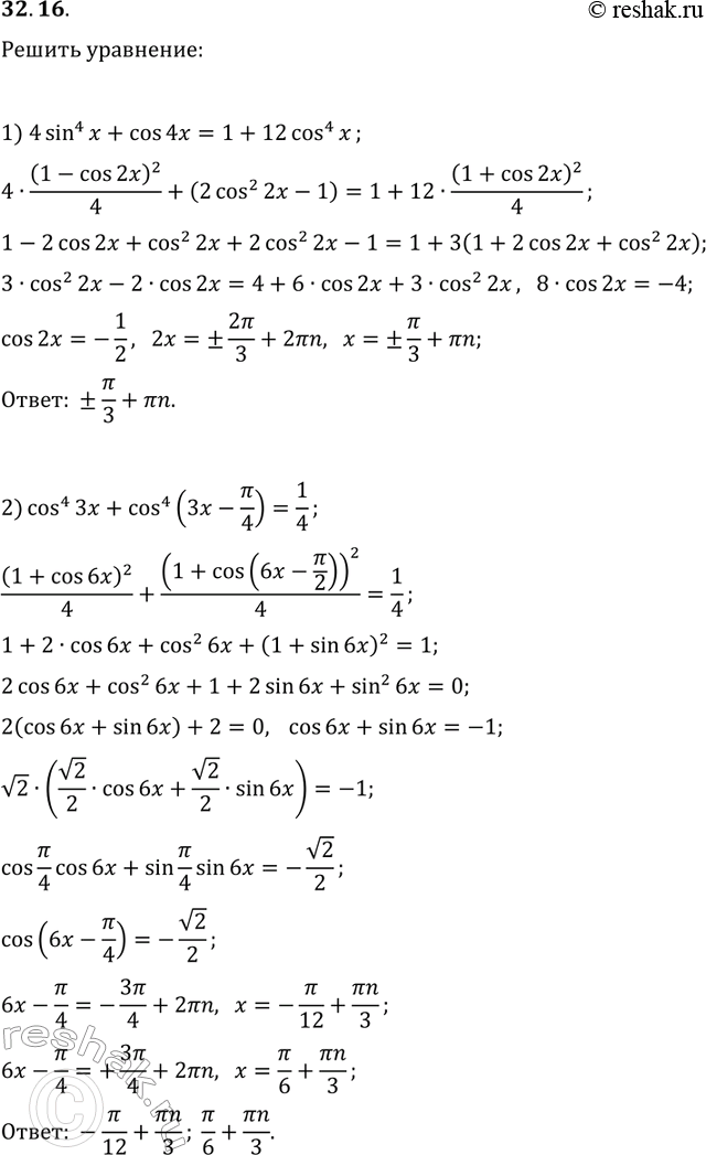
32.16. Решите уравнение: 1) 4sin^4(x)+cos(4x)=1+12cos^4(x); 2) cos^4(3x)+cos^4(3x-?/4)=1/4. *Цитирирование задания со ссылкой на учебник производится исключительно в учебных целях для лучшего понимания разбора решения задания.

Ниже вариант решения задания из учебника Мерзляк, Номировский, Поляков 10 класс, Просвещение:
32.16. Решите уравнение:
1) 4sin^4(x)+cos(4x)=1+12cos^4(x);
2) cos^4(3x)+cos^4(3x-?/4)=1/4.
