Упражнение 33.26 ГДЗ Мерзляк 10 класс Углубленный уровень (Алгебра)
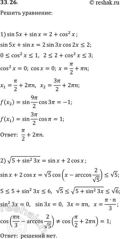
33.26. Решите уравнение: 1) sin(5x)+sin(x)=2+cos^2(x); 2) v(5+sin^2(3x))=sin(x)+2cos(x). *Цитирирование задания со ссылкой на учебник производится исключительно в учебных целях для лучшего понимания разбора решения задания.

Ниже вариант решения задания из учебника Мерзляк, Номировский, Поляков 10 класс, Просвещение:
33.26. Решите уравнение:
1) sin(5x)+sin(x)=2+cos^2(x);
2) v(5+sin^2(3x))=sin(x)+2cos(x).
