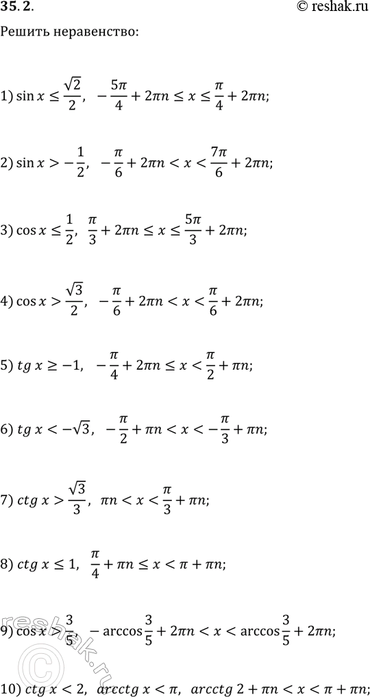
Упражнение 35.2 ГДЗ Мерзляк 10 класс Углубленный уровень (Алгебра)
35.2. Решите неравенство: 1) sin(x)?v2/2; 5) tg(x)?-1; 9) cos(x) > 3/5; 2) sin(x) > -1/2; 6) tg(x) 3) cos(x)?1/2; 7) ctg(x) >

Ниже вариант решения задания из учебника Мерзляк, Номировский, Поляков 10 класс, Просвещение:
35.2. Решите неравенство:
1) sin(x)?v2/2; 5) tg(x)?-1; 9) cos(x) > 3/5;
2) sin(x) > -1/2; 6) tg(x)
3) cos(x)?1/2; 7) ctg(x) > v3/3;
4) cos(x) > v3/2; 8) ctg(x)?1;
