Упражнение 35.4 ГДЗ Мерзляк 10 класс Углубленный уровень (Алгебра)
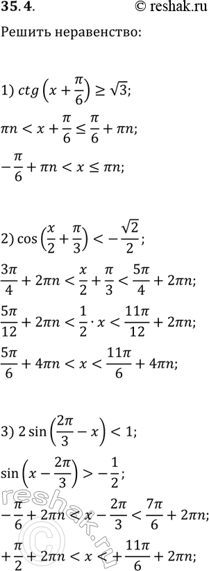
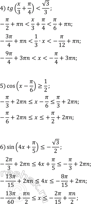
35.4. Решите неравенство: 1) ctg(x+?/6)?v3; 4) tg(x/3+?/4) 2) cos(x/2+?/3) 3) 2sin(2?/3-x) *Цитирирование задания со ссылкой на учебник производится исключительно в учебных целях для лучшего понимания разбора решения задания.
Ниже вариант решения задания из учебника Мерзляк, Номировский, Поляков 10 класс, Просвещение:
35.4. Решите неравенство:
1) ctg(x+?/6)?v3; 4) tg(x/3+?/4)
2) cos(x/2+?/3)
3) 2sin(2?/3-x)


