Упражнение 35.3 ГДЗ Мерзляк 10 класс Углубленный уровень (Алгебра)
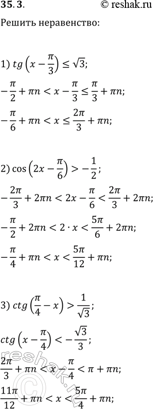
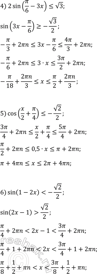
35.3. Решите неравенство: 1) tg(x-?/3)?v3; 4) 2sin(?/6-3x)?v3; 2) cos(2x-?/6) > -1/2; 5) cos(x/2+?/4)?-v2/2; 3) ctg(?/4-x) > 1/v3; 6) sin(1-2x) *Цитирирование задания со ссылкой на учебник производится исключительно в учебных целях для лучшего понимания разбора решения задания.


Ниже вариант решения задания из учебника Мерзляк, Номировский, Поляков 10 класс, Просвещение:
35.3. Решите неравенство:
1) tg(x-?/3)?v3; 4) 2sin(?/6-3x)?v3;
2) cos(2x-?/6) > -1/2; 5) cos(x/2+?/4)?-v2/2;
3) ctg(?/4-x) > 1/v3; 6) sin(1-2x)
