Упражнение 35.5 ГДЗ Мерзляк 10 класс Углубленный уровень (Алгебра)
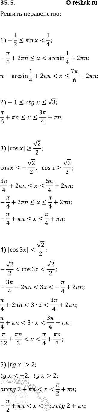
35.5. Решите неравенство: 1) -1/2?sin(x) 2) -1?ctg(x)?v3; 5) |tg(x)| > 2. 3) |cos(x)|?v2/2; *Цитирирование задания со ссылкой на учебник производится исключительно в учебных целях для лучшего понимания разбора решения задания.

Ниже вариант решения задания из учебника Мерзляк, Номировский, Поляков 10 класс, Просвещение:
35.5. Решите неравенство:
1) -1/2?sin(x)
2) -1?ctg(x)?v3; 5) |tg(x)| > 2.
3) |cos(x)|?v2/2;
