Упражнение 39.9 ГДЗ Мерзляк 10 класс Углубленный уровень (Алгебра)
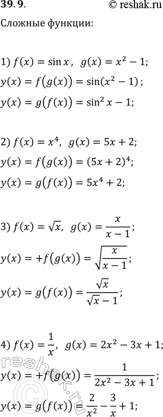
39.9. Задайте с помощью формул сложные функции y=f(g(x)) и y=g(f(x)), если: 1) f(x)=sin(x), g(x)=x^2-1; 3) f(x)=vx, g(x)=x/(x-1); 2) f(x)=x^4, g(x)=5x+2; 4) f(x)=1/x, g(x)=2x^2-3x+1.

Ниже вариант решения задания из учебника Мерзляк, Номировский, Поляков 10 класс, Просвещение:
39.9. Задайте с помощью формул сложные функции y=f(g(x)) и y=g(f(x)), если:
1) f(x)=sin(x), g(x)=x^2-1; 3) f(x)=vx, g(x)=x/(x-1);
2) f(x)=x^4, g(x)=5x+2; 4) f(x)=1/x, g(x)=2x^2-3x+1.
