Упражнение 39.7 ГДЗ Мерзляк 10 класс Углубленный уровень (Алгебра)
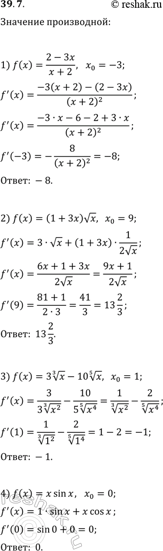
39.7. Чему равно значение производной функции f в точке x_0, если: 1) f(x)=(2-3x)/(x+2), x_0=-3; 3) f(x)=3x^(1/3)-10x^(1/5), x_0=1; 2) f(x)=(1+3x)vx, x_0=9; 4) f(x)=x sin(x), x_0=0?

Ниже вариант решения задания из учебника Мерзляк, Номировский, Поляков 10 класс, Просвещение:
39.7. Чему равно значение производной функции f в точке x_0, если:
1) f(x)=(2-3x)/(x+2), x_0=-3; 3) f(x)=3x^(1/3)-10x^(1/5), x_0=1;
2) f(x)=(1+3x)vx, x_0=9; 4) f(x)=x sin(x), x_0=0?
