Упражнение 39.8 ГДЗ Мерзляк 10 класс Углубленный уровень (Алгебра)
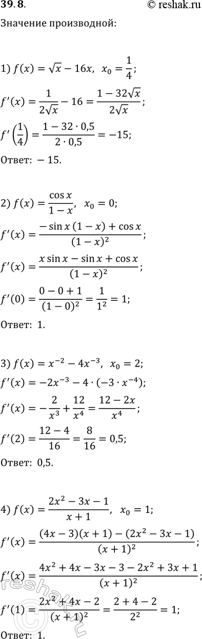
39.8. Вычислите значение производной функции f в точке х_0: 1) f(x)=vx-16x, x_0=1/4; 3) f(x)=x^(-2)-4x^(-3), x_0=2; 2) f(x)=cos(x)/(1-x), x_0=0; 4) f(x)=(2x^2-3x-1)/(x+1), x_0=1.

Ниже вариант решения задания из учебника Мерзляк, Номировский, Поляков 10 класс, Просвещение:
39.8. Вычислите значение производной функции f в точке х_0:
1) f(x)=vx-16x, x_0=1/4; 3) f(x)=x^(-2)-4x^(-3), x_0=2;
2) f(x)=cos(x)/(1-x), x_0=0; 4) f(x)=(2x^2-3x-1)/(x+1), x_0=1.
