Упражнение 4.12 ГДЗ Мерзляк 10 класс Углубленный уровень (Алгебра)
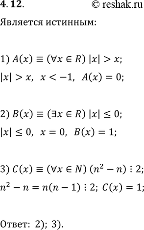
4.12. Укажите истинные высказывания: 1) (?x?R)|x| > x; 2) (?x?R)|x|?0; 3) (?n?N)(n^2-n)?2. *Цитирирование задания со ссылкой на учебник производится исключительно в учебных целях для лучшего понимания разбора решения задания.

Ниже вариант решения задания из учебника Мерзляк, Номировский, Поляков 10 класс, Просвещение:
4.12. Укажите истинные высказывания:
1) (?x?R)|x| > x;
2) (?x?R)|x|?0;
3) (?n?N)(n^2-n)?2.
