Упражнение 5.2 ГДЗ Мерзляк 10 класс Углубленный уровень (Алгебра)
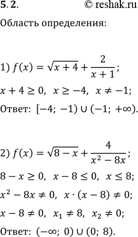
5.2. Найдите область определения функции: 1) f(x)=v(x+4)+2/(x+1); 2) f(x)=v(8-x)+4/(x^2-8x). *Цитирирование задания со ссылкой на учебник производится исключительно в учебных целях для лучшего понимания разбора решения задания.

Ниже вариант решения задания из учебника Мерзляк, Номировский, Поляков 10 класс, Просвещение:
5.2. Найдите область определения функции:
1) f(x)=v(x+4)+2/(x+1); 2) f(x)=v(8-x)+4/(x^2-8x).
