Упражнение 5.1 ГДЗ Мерзляк 10 класс Углубленный уровень (Алгебра)
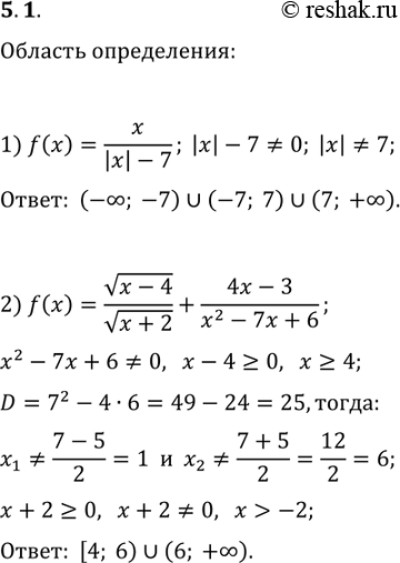
5.1. Найдите область определения функции: 1) f(x)=x/(|x|-7); 2) f(x)=v(x-4)/v(x+2)+(4x-3)/(x^2-7x+6). *Цитирирование задания со ссылкой на учебник производится исключительно в учебных целях для лучшего понимания разбора решения задания.

Ниже вариант решения задания из учебника Мерзляк, Номировский, Поляков 10 класс, Просвещение:
5.1. Найдите область определения функции:
1) f(x)=x/(|x|-7); 2) f(x)=v(x-4)/v(x+2)+(4x-3)/(x^2-7x+6).
