Упражнение 40.11 ГДЗ Мерзляк 10 класс Углубленный уровень (Алгебра)
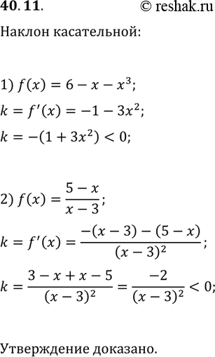
40.11. Докажите, что любая касательная к графику функции f образует тупой угол с положительным направлением оси абсцисс: 1) f(x)=6-x-x^3; 2) f(x)=(5-x)/(x-3).

Ниже вариант решения задания из учебника Мерзляк, Номировский, Поляков 10 класс, Просвещение:
40.11. Докажите, что любая касательная к графику функции f образует тупой угол с положительным направлением оси абсцисс:
1) f(x)=6-x-x^3; 2) f(x)=(5-x)/(x-3).
